Umas perguntas de MS Excel para o fim de semana...
23 mensagens
|Página 1 de 1
nunofaustino Escreveu:Ia abrir um post para tentar descobrir a resposta para uma duvida minha no excel, mas vou aproveitar este post para colocar a minha duvida...
Imaginem que 100E investidos numa accao durante 9 anos transformaram-se em 1000E. Qual foi a taxa de lucro por ano (considerando que nunca foi levantado qquer $$).
Um abraco
Nuno
=rate(9;0;-100;1000)
- Mensagens: 26
- Registado: 30/4/2004 13:57
Já consegui fazer sem o Interest. No meu Excel (2003), a fórmula funciona com virgulas entre os parâmetros e não com ponto e vírgula. Tb não consegui atribuir simplesmente uma palavra pq ele simplesmente não reconhecia a palavra portanto fixei uma cécula de interest, e assim já funcionou.
Resumindo, reduzi em 1/3 sensivelmente a quantidade no eixo dos XX. Fixe!
Obrigado!
Agora faltam as outras questões (ou a outra fase desta questão, que é fazer um match entre duas colunas. Com esta nova fase devo reduzir a metade, o total de trades que aparece agora nos XX...)
Abraço
Resumindo, reduzi em 1/3 sensivelmente a quantidade no eixo dos XX. Fixe!
Obrigado!
Agora faltam as outras questões (ou a outra fase desta questão, que é fazer um match entre duas colunas. Com esta nova fase devo reduzir a metade, o total de trades que aparece agora nos XX...)
Abraço
- Anexos
-
- sem_interest.PNG (8 KiB) Visualizado 1568 vezes
- Mensagens: 271
- Registado: 2/10/2005 12:32
SCPNuno,
"Encontra uma coisa que realmente gostes, e nunca trabalharás um dia"
Pois, eu estou desde as 9h à frente do PC, só saindo para refeições, e não sinto que tenha "trabalhado", apesar de estar bem cansado...
Para além disso, já dizia o meu Avô; Primeiro as "obrigações", depois a diversões.
Mas, tudo bem, continua-se amanhã!
kiss
"PTM",
Amanhã chateio-te mais!
Abraço
"Encontra uma coisa que realmente gostes, e nunca trabalharás um dia"
Pois, eu estou desde as 9h à frente do PC, só saindo para refeições, e não sinto que tenha "trabalhado", apesar de estar bem cansado...
Para além disso, já dizia o meu Avô; Primeiro as "obrigações", depois a diversões.
Mas, tudo bem, continua-se amanhã!
kiss
"PTM",
Amanhã chateio-te mais!
Abraço
- Mensagens: 271
- Registado: 2/10/2005 12:32
scpnuno Escreveu:Peço desculpa por interropmper os vossos profundos raciocinios matemáticos e excelisticos, mas os senhores têm ideia de que são 2 da madrugada de uma sexta feira, já sabado?
E discutem excel? celulas? colunas? interests?
Começo a concordar com o The Mechanic, que isto da bolsa é uma actividade muito solitária..
Vão pra discoteca..prós copos...larguem o PC, vida há só uma. Era o qu eu faria, se não tivesse a familia toda a ressonar e não estivesse em frente do PC as 2 h da matina de uma sexta, já sabado, em roupão e chinelos...
Aii, é o fim da picada
Abraços
Boas scpnuno,
Eu queria ter ido ao cinema ver hoje a Idade do Gelo 2, mas a família preferiu ir ressonar....
1 ab
Peço desculpa por interropmper os vossos profundos raciocinios matemáticos e excelisticos, mas os senhores têm ideia de que são 2 da madrugada de uma sexta feira, já sabado?
E discutem excel? celulas? colunas? interests?
Começo a concordar com o The Mechanic, que isto da bolsa é uma actividade muito solitária..
Vão pra discoteca..prós copos...larguem o PC, vida há só uma. Era o qu eu faria, se não tivesse a familia toda a ressonar e não estivesse em frente do PC as 2 h da matina de uma sexta, já sabado, em roupão e chinelos...
Aii, é o fim da picada
Abraços
E discutem excel? celulas? colunas? interests?
Começo a concordar com o The Mechanic, que isto da bolsa é uma actividade muito solitária..
Vão pra discoteca..prós copos...larguem o PC, vida há só uma. Era o qu eu faria, se não tivesse a familia toda a ressonar e não estivesse em frente do PC as 2 h da matina de uma sexta, já sabado, em roupão e chinelos...
Aii, é o fim da picada
Abraços
Jack Escreveu:A minha ideia era colocar tudo excepto o Interest.
Isto numa primeira fase, porque o ideal seria fazer um "varrimento" pela coluna do "ticket link" fazendo uma ligação com uma outra coluna (que não está na imagem) que é a ticket. Fazendo um match entre "ticket" e "ticket link" tinha 1 trade, que actualmente conta como dois trades por cada "acção" (comprar e vender) estar em linhas separadas...
Mas isto é noutra fase! Agora o que queria era mesmo conseguir tirar o Interest.
Muitoobrigado pela tua ajuda e interesse no assunto PTMasters!
Abraço
Boas,
Cá vai. Para referenciar as células que quereria, estava a excluir então no exemplo da imagem todas as que dissessem "INTEREST".
Não te importes com o tamanho da folha (eu normalmente uso até à célula 5000).
1 ab
- Anexos
-
- excelB.png (14.02 KiB) Visualizado 1668 vezes
A minha ideia era colocar tudo excepto o Interest.
Isto numa primeira fase, porque o ideal seria fazer um "varrimento" pela coluna do "ticket link" fazendo uma ligação com uma outra coluna (que não está na imagem) que é a ticket. Fazendo um match entre "ticket" e "ticket link" tinha 1 trade, que actualmente conta como dois trades por cada "acção" (comprar e vender) estar em linhas separadas...
Mas isto é noutra fase! Agora o que queria era mesmo conseguir tirar o Interest.
Muitoobrigado pela tua ajuda e interesse no assunto PTMasters!
Abraço
Isto numa primeira fase, porque o ideal seria fazer um "varrimento" pela coluna do "ticket link" fazendo uma ligação com uma outra coluna (que não está na imagem) que é a ticket. Fazendo um match entre "ticket" e "ticket link" tinha 1 trade, que actualmente conta como dois trades por cada "acção" (comprar e vender) estar em linhas separadas...
Mas isto é noutra fase! Agora o que queria era mesmo conseguir tirar o Interest.
Muitoobrigado pela tua ajuda e interesse no assunto PTMasters!
Abraço
- Mensagens: 271
- Registado: 2/10/2005 12:32
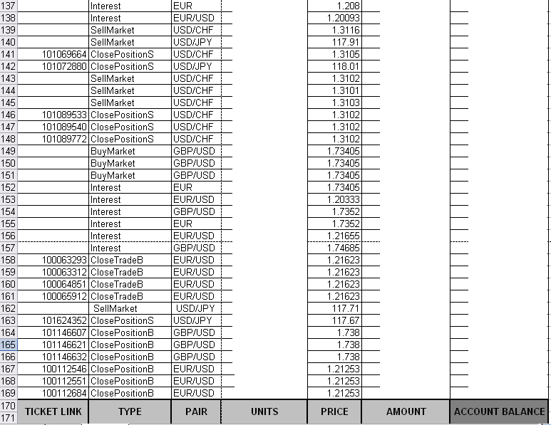
Jack Escreveu:Oi JAS e PTMasters,
Obrigado pela ajuda. Eu não quero complicar...
Mas reparem, na minha análise mensal de evolução da carteira, quando faço o gráfico, aparece-me montes de trades, que na realidade não o são. São pagamentos de interest. Eu queria retirar estas linhas da plotagem do gráfico. Ora, num mês tenho cento e tal linhas de "actividade", que não são o número de trades!
E a ideia de criar uma coluna com números tb não me parece a melhor, dado o "volume" de linhas.
Deixo imagens para terem uma ideia.
Abraço
Boas,
Quais eras as infos que pretendias colocar no gráfico? As SellMarket, as ClosePosition, ambas? Quais?
1 ab
Nuno, sorry, li de relance e fiz asneira.
A FORMULA PARA POR EM FOLHA DE EXCEL é a que Jack postou.
A FORMULA PARA POR EM FOLHA DE EXCEL é a que Jack postou.
- Anexos
-
- 31032006_TX-anual _ 9 anos com Cap.juros( Nuno Faustino_CaldeeiraõdeBolsa).PNG (9.63 KiB) Visualizado 1728 vezes
Toolbar de bolsa com chat, download:
http://gabinforme.ForumToolbar.com
BLOG com detalhes sobre toolbar:
http://gabinforme.blogspot.com/
Ja vi que a minha formula tinha um erro (diferenca entre teclado portugues e ingles).
A formula correcta eh a que o Jack indicou ((saldo final/saldo inicial)^(1/Numero de anos))-1.
JAS, a tua formula nao esta correcta... se tu fizeres 100*27.65*27.65*27.65*27.65*27.65*27.65*27.65*27.65*27.65 obtens 900, qdo o valor final deveria ser de 1000. penso que o teu erro foi na formula incial que devera ser de 1000=100*(e nao +)C^9.
Obrigado a todos
Nuno
A formula correcta eh a que o Jack indicou ((saldo final/saldo inicial)^(1/Numero de anos))-1.
JAS, a tua formula nao esta correcta... se tu fizeres 100*27.65*27.65*27.65*27.65*27.65*27.65*27.65*27.65*27.65 obtens 900, qdo o valor final deveria ser de 1000. penso que o teu erro foi na formula incial que devera ser de 1000=100*(e nao +)C^9.
Obrigado a todos
Nuno
Pluricanal... não obrigado. Serviço péssimo e enganador!!!
Oi JAS e PTMasters,
Obrigado pela ajuda. Eu não quero complicar...
Mas reparem, na minha análise mensal de evolução da carteira, quando faço o gráfico, aparece-me montes de trades, que na realidade não o são. São pagamentos de interest. Eu queria retirar estas linhas da plotagem do gráfico. Ora, num mês tenho cento e tal linhas de "actividade", que não são o número de trades!
E a ideia de criar uma coluna com números tb não me parece a melhor, dado o "volume" de linhas.
Deixo imagens para terem uma ideia.
Abraço
Obrigado pela ajuda. Eu não quero complicar...
Mas reparem, na minha análise mensal de evolução da carteira, quando faço o gráfico, aparece-me montes de trades, que na realidade não o são. São pagamentos de interest. Eu queria retirar estas linhas da plotagem do gráfico. Ora, num mês tenho cento e tal linhas de "actividade", que não são o número de trades!
E a ideia de criar uma coluna com números tb não me parece a melhor, dado o "volume" de linhas.
Deixo imagens para terem uma ideia.
Abraço
- Anexos
-
- nav.PNG (7.23 KiB) Visualizado 1748 vezes
-
- Activity.PNG (40.73 KiB) Visualizado 1754 vezes
- Mensagens: 271
- Registado: 2/10/2005 12:32
Re
Jack, andas a complicar coisas simples ao meteres pelo meio linhas que "aparentemente" não te interessam...
A maneira mais simples é arranjares um quadro resumo com linhas todas seguidas.
Só tens o trabalho de arranjares outra coluna e fazeres "=" aos valores que te interessam.
Esse quadro até pode estar noutra folha.
A partir daí fazes o gráfico.
Um abraço,
JAS
--------------------------
Nuno, o que tu queres é calcular um juro composto.
Capital Inicial I = 100 euros
Capital final F = 1000 euros
Número de anos N = 9
Taxa de Juro anual J = ? (em %)
Coeficiente C = 1 + J/100 (expresso em 1,xx)
F = I + (1+J/100)^N
1000 = 100 + C^9
C^9 = 1000-100
C = 900^(1/9) = 1,276518
J = 27,65%
Verificação:
100 + (1,276518)^9 = 1000
Um abraço,
JAS
A maneira mais simples é arranjares um quadro resumo com linhas todas seguidas.
Só tens o trabalho de arranjares outra coluna e fazeres "=" aos valores que te interessam.
Esse quadro até pode estar noutra folha.
A partir daí fazes o gráfico.
Um abraço,
JAS
--------------------------
Nuno, o que tu queres é calcular um juro composto.
Capital Inicial I = 100 euros
Capital final F = 1000 euros
Número de anos N = 9
Taxa de Juro anual J = ? (em %)
Coeficiente C = 1 + J/100 (expresso em 1,xx)
F = I + (1+J/100)^N
1000 = 100 + C^9
C^9 = 1000-100
C = 900^(1/9) = 1,276518
J = 27,65%
Verificação:
100 + (1,276518)^9 = 1000
Um abraço,
JAS
Na Bolsa como no Poker há que ter uma boa mão...
Re: Umas perguntas de MS Excel para o fim de semana...
Jack Escreveu:Oi,
- Quero fazer um gráfico de linha de uma coluna de info. Mas não quero que fique a info toda. Por exemplo, queria que as primeiras 7 linhas fizessem parte da info que irá aparecer no gráfico, mas depois só quero a info da 10ª à 23ª linha, e posteriormente da 45ª até ao fim. Como é que eu faço um gráfico de linha em que vou selecionando a info (não seguida nas linhas dessa coluna)?
Por partes:
Neste caso, o que recomendo, é que faça o seguinte. À esquerda coluna com a informação, numere de 1 a n as "infos" que pretende que apareçam no futuro gráfico (parte 1 - de A1 a B13).
Em seguida, num outro sítio qualquer, coloque o "n" sequencialmente de 1 a n (parte 2 - de A19 a A26).
Na coluna B19 a B26, coloque a seguinte formula: =VLOOKUP(A19;$A$1:$B$13;2)
O que é que isto vai fazer:
Procurar o valor A19 (no exemplo o 1) referenciado na tabela A1:B13, devolvendo o valor que se encontra na coluna 2.
Depois, é só fazer o gráfico.
1 ab
- Anexos
-
- exemplo1.png (6.99 KiB) Visualizado 1792 vezes
nunofaustino Escreveu:Ia abrir um post para tentar descobrir a resposta para uma duvida minha no excel, mas vou aproveitar este post para colocar a minha duvida...
Imaginem que 100E investidos numa accao durante 9 anos transformaram-se em 1000E. Qual foi a taxa de lucro por ano (considerando que nunca foi levantado qquer $$).
Um abraco
Nuno
Boas,
Cá vai, sem inflação, em que:
CA = Capital Acumulado = 1000€
CI = Capital Inicial = 100€
n = tempo = 10
A taxa juro (total) será qualquer coisa como (CA / CI)-1 = 900% e a taxa juro ano basta dividir por 10 = 90%
Se quiseres considerar a inflação:
i = inflação = 2,5% /ano
CAA = Capital Acumulado Actualizado
o resto das variáveis são as mesmas. Logo teremos:
CAA = CA * (1 + i)^ -n <=> CAA = 781,20€
Aqui a minha taxa juro total será 681%, e a anual 68%
1 abraço
111,11% ANO
Toolbar de bolsa com chat, download:
http://gabinforme.ForumToolbar.com
BLOG com detalhes sobre toolbar:
http://gabinforme.blogspot.com/
Ia abrir um post para tentar descobrir a resposta para uma duvida minha no excel, mas vou aproveitar este post para colocar a minha duvida...
Imaginem que 100E investidos numa accao durante 9 anos transformaram-se em 1000E. Qual foi a taxa de lucro por ano (considerando que nunca foi levantado qquer $$).
Um abraco
Nuno
Imaginem que 100E investidos numa accao durante 9 anos transformaram-se em 1000E. Qual foi a taxa de lucro por ano (considerando que nunca foi levantado qquer $$).
Um abraco
Nuno
Pluricanal... não obrigado. Serviço péssimo e enganador!!!
Umas perguntas de MS Excel para o fim de semana...
Oi,
Tenho umas perguntas a fazer relativamente ao excel, que ficaria muito grato caso alguém me possa responder;
- Quero fazer um gráfico de linha de uma coluna de info. Mas não quero que fique a info toda. Por exemplo, queria que as primeiras 7 linhas fizessem parte da info que irá aparecer no gráfico, mas depois só quero a info da 10ª à 23ª linha, e posteriormente da 45ª até ao fim. Como é que eu faço um gráfico de linha em que vou selecionando a info (não seguida nas linhas dessa coluna)?
- Há alguma forma de automatizar coisas rotineiras? Por exemplo: uma forma de ter um espaço onde coloco um valor, e ao fazê-lo, esse valor é inserido numa coluna. Quando acrescento um novo valor nesse mesmo espaço onde inicialmente inseri o primeiro valor, este vai para a mesma coluna mas da linha de baixo. E à medida que acrescento um valor, uma formula vai buscar esse valor inserido e devolve um output para outra coluna. Quando o segundo valor for inserido, essa mesma formula é aplicada ao novo valor e devolve o output para a linha debaixo da mesma coluna onde esta o output anterior. Assim, escuso de andar sempre arrastar a célula com a fórmula sempre que adiciono um input...
- Há alguma forma de ter uma formula definida (que dá o output sempre na mesma célula), e sempre que adiciono um novo valor numa coluna (ou seja, o output falado na pergunta anterior), não tenha de ir à formula deste output mudar a célula de input para o novo valor?
Tenho a ideia que isto não há-de ser muito difícil de fazer, mas eu não sei como...
Bom fim de semana!
Tenho umas perguntas a fazer relativamente ao excel, que ficaria muito grato caso alguém me possa responder;
- Quero fazer um gráfico de linha de uma coluna de info. Mas não quero que fique a info toda. Por exemplo, queria que as primeiras 7 linhas fizessem parte da info que irá aparecer no gráfico, mas depois só quero a info da 10ª à 23ª linha, e posteriormente da 45ª até ao fim. Como é que eu faço um gráfico de linha em que vou selecionando a info (não seguida nas linhas dessa coluna)?
- Há alguma forma de automatizar coisas rotineiras? Por exemplo: uma forma de ter um espaço onde coloco um valor, e ao fazê-lo, esse valor é inserido numa coluna. Quando acrescento um novo valor nesse mesmo espaço onde inicialmente inseri o primeiro valor, este vai para a mesma coluna mas da linha de baixo. E à medida que acrescento um valor, uma formula vai buscar esse valor inserido e devolve um output para outra coluna. Quando o segundo valor for inserido, essa mesma formula é aplicada ao novo valor e devolve o output para a linha debaixo da mesma coluna onde esta o output anterior. Assim, escuso de andar sempre arrastar a célula com a fórmula sempre que adiciono um input...
- Há alguma forma de ter uma formula definida (que dá o output sempre na mesma célula), e sempre que adiciono um novo valor numa coluna (ou seja, o output falado na pergunta anterior), não tenha de ir à formula deste output mudar a célula de input para o novo valor?
Tenho a ideia que isto não há-de ser muito difícil de fazer, mas eu não sei como...
Bom fim de semana!
- Mensagens: 271
- Registado: 2/10/2005 12:32
23 mensagens
|Página 1 de 1
Quem está ligado:
Utilizadores a ver este Fórum: AAA_, afcapitao, alfa_2, Burbano, Goya777, iniciado1, Lisboa_Casino, m-m, malakas, Mavericks7, mjcsreis, Mmmartins, Mr.Warrior, MR32, niceboy, nunorpsilva, nuuuuno, O Magriço, SerCyc, Sertorio, Simplório, trend=friend, vaskom1973 e 996 visitantes