CoronaVirus, panico justificado...?
Re: CoronaVirus, panico justificado...?
Gaio Azul Escreveu:Os políticos em Portugal agem sem vergonha e descaradamente não só porque são arrogantes e julgam que fazem parte duma classe superior, mas também por se sentirem intocáveis e mais inteligentes.
Esta celebração numa altura em que estamos todos fechados em casa reflete perfeitamente a realidade do nosso país. Porque não celebraram o 25 de Abril consoante um protocolo seguido pelo resto do país e decretado por eles?
Muito simples: já há muito que têm como adquiridos não só os poderes legislativo, executivo e judiciário, como também o poder económico e CEREBRAL do país.
E nós deixamos, assistimos como espetadores e se for preciso, aplaudimos.
Ao contrário do resto do mundo, o povo português fez uma revolução com cravos.
Somos passivos. Gostamos de discutir e debater mas nunca agimos agressivamente.
Eu próprio fico revoltado e francamente só consigo levantar os braços ao ar porque como bom Português só sei criticar, não sei agir.
Fico a pensar nos familiares espalhados pelo país e pelo mundo, e ainda não sei quando os irei abraçar. Nem sei se usar máscara. Estes tipos vivem uma vida paralela e servem os seus próprios interesses.
Entretanto recordo que lhes dei o meu voto...

- Mensagens: 6450
- Registado: 7/4/2007 17:13
- Localização: Algarve
Re: CoronaVirus, panico justificado...?
Para ser sincero não tenho paciência nem tempo nesta altura... vou só responder a algumas coisas.
Na falta de argumentos ataca-se a pessoa!
....
Estás a especular, mas não é isso que dizem os maiores especialistas, felizmente, é com base na opinião deles que os governos estão a agir, e não com as de alguém escreve umas coisas num forum! E, se nestes não valia a pena, os outros que fecharam mais cedo não teve efeito?! porque é que não há nenhum (esquece a Bélgica) desses que esteja tão mal como estes?!
Podia ser um caso excecional mas nem o é, quando tomou medidas não fechou as escolas por exemplo, e não é dos países que fechou mais cedo... aparentemente esqueceste-te da Noruega, que para ti entrava no grupo de países que tomou medidas mais tarde, mas que a tua própria tabela mostra que estava numa situação idêntica à Bélgica, que, para ti, está no grupo dos que tomaram mais cedo... e eu é que não faço o trabalho de casa!
E a Musgueira? e a ilha de Tavira?
Andorra!? Não encontras mais nenhum?!
Coloca lá os de Espanha, Itália, França, UK, etc... para ver se foi uma gripe!
Na tua tabela, à data do lockdown, a Bélgica tinha 14 mortos a Noruega 7... a Bélgica 1,2 por Milhão de Habitantes, a Noruega 1,3....a Bélgica 0,39 de pop infetada, a Noruega 0,13... e tu colocas a Noruega no grupo dos que tomaram medidas tarde e a Bélgica nos que tomaram cedo?!?
Nem vale a pena falar de que a Bélgica não fechou totalmente as escolas e da densidade populacional dos dois paíeses, o teu próprio argumento (a tabela) contradiz-te!
Se fizesses o trabalho de casa e tentasses realmente perceber o que os outros te estão a dizer, há muito que saberias que eu sempre disse que há vários fatores a considerar, por isso é que há exceções, apenas acho que de forma generalizada o que mais contribui para travar a progressão da pandemia é o Lockdown, eu sempre disse isso, tu é que parece que só agora o descobriste... aliás, também por isso é que digo que para verificar isso é melhor olhar para os casos extremos, porque os que estão ali pelo meio, nem tomaram medidas muito cedo nem muito tarde, pode haver muitos outros dados a influenciar, para um lado ou para o outro....isto parece-me tão óbvio que...
E ainda temos que considerar que os dados oficiais não serem reais, pode haver um afastamento maior ou menor, em diferentes casos...mas se pegarmos nos casos extremos, mesmo que haja algum afastamento da realidade, dificilmente deixarão de ser extremos!
Qualnhick Escreveu:Um dos problemas é que tu falas sem teres dados objetivos, sem fazeres os trabalhos de casa.
Fazias um quadro com os dados que defendes, apresentavas e defendias as tuas teorias. Só que isso dá trabalho.
Na falta de argumentos ataca-se a pessoa!
Qualnhick Escreveu:Esses paises, Espanha, Italia, França e UK tomaram medidas de lockdown num momento em que a infecção já estava de tal maneira disseminada pela popuiação que essas medidas não resolveram nada e, possivelmente, até agravaram a situação.
Estás a especular, mas não é isso que dizem os maiores especialistas, felizmente, é com base na opinião deles que os governos estão a agir, e não com as de alguém escreve umas coisas num forum! E, se nestes não valia a pena, os outros que fecharam mais cedo não teve efeito?! porque é que não há nenhum (esquece a Bélgica) desses que esteja tão mal como estes?!
Qualnhick Escreveu:A Belgica foi dos paises que mais rapidamente agiu, no entanto tem o maior numero de mortos por milhao de habitantes.
Podia ser um caso excecional mas nem o é, quando tomou medidas não fechou as escolas por exemplo, e não é dos países que fechou mais cedo... aparentemente esqueceste-te da Noruega, que para ti entrava no grupo de países que tomou medidas mais tarde, mas que a tua própria tabela mostra que estava numa situação idêntica à Bélgica, que, para ti, está no grupo dos que tomaram mais cedo... e eu é que não faço o trabalho de casa!
Qualnhick Escreveu:Andorra idem.
E a Musgueira? e a ilha de Tavira?
artista_ Escreveu: como é que tu explicas que de todos os países que fecharam sem ter ainda um único morto, não haja um único que tenha tido dificuldades de maior com a pandemia?! [/b]
Qualnhick Escreveu:Não é verdade, tens como exemplo Andorra que é só o segundo pais com mais mortos por milhao de habitantes e tomou medidas quando não tinha nenhum morto.
Andorra!? Não encontras mais nenhum?!
Qualnhick Escreveu:Tambem não é verdade, tenho mostrado quer os graficos de Portugal quer os graficos de toda a Europa.
Coloca lá os de Espanha, Itália, França, UK, etc... para ver se foi uma gripe!
Qualnhick Escreveu:À moda do fregues são as tuas analises em que não fazes o trabalho de casa.
A Belgica tomou medidas antes da Noruega, como se vê no quadro, e está na pior situação do mundo.
Já a Noruega tomou medidas depois da Belgica e está numa situação confortavel.
Isto são factos baseados nos numeros oficiais.
Na tua tabela, à data do lockdown, a Bélgica tinha 14 mortos a Noruega 7... a Bélgica 1,2 por Milhão de Habitantes, a Noruega 1,3....a Bélgica 0,39 de pop infetada, a Noruega 0,13... e tu colocas a Noruega no grupo dos que tomaram medidas tarde e a Bélgica nos que tomaram cedo?!?
Nem vale a pena falar de que a Bélgica não fechou totalmente as escolas e da densidade populacional dos dois paíeses, o teu próprio argumento (a tabela) contradiz-te!
Qualnhick Escreveu:Bem, pelo menos já concluis que não é o lockdown que explica tudo ... já não é mau.
Se fizesses o trabalho de casa e tentasses realmente perceber o que os outros te estão a dizer, há muito que saberias que eu sempre disse que há vários fatores a considerar, por isso é que há exceções, apenas acho que de forma generalizada o que mais contribui para travar a progressão da pandemia é o Lockdown, eu sempre disse isso, tu é que parece que só agora o descobriste... aliás, também por isso é que digo que para verificar isso é melhor olhar para os casos extremos, porque os que estão ali pelo meio, nem tomaram medidas muito cedo nem muito tarde, pode haver muitos outros dados a influenciar, para um lado ou para o outro....isto parece-me tão óbvio que...
E ainda temos que considerar que os dados oficiais não serem reais, pode haver um afastamento maior ou menor, em diferentes casos...mas se pegarmos nos casos extremos, mesmo que haja algum afastamento da realidade, dificilmente deixarão de ser extremos!
Sugestões de trading, análises técnicas, estratégias e ideias http://sobe-e-desce.blogspot.com/
http://www.gamesandfun.pt/afiliado&id=28
http://www.gamesandfun.pt/afiliado&id=28
Re: CoronaVirus, panico justificado...?
Os políticos em Portugal agem sem vergonha e descaradamente não só porque são arrogantes e julgam que fazem parte duma classe superior, mas também por se sentirem intocáveis e mais inteligentes.
Esta celebração numa altura em que estamos todos fechados em casa reflete perfeitamente a realidade do nosso país. Porque não celebraram o 25 de Abril consoante um protocolo seguido pelo resto do país e decretado por eles?
Muito simples: já há muito que têm como adquiridos não só os poderes legislativo, executivo e judiciário, como também o poder económico e CEREBRAL do país.
E nós deixamos, assistimos como espetadores e se for preciso, aplaudimos.
Ao contrário do resto do mundo, o povo português fez uma revolução com cravos.
Somos passivos. Gostamos de discutir e debater mas nunca agimos agressivamente.
Eu próprio fico revoltado e francamente só consigo levantar os braços ao ar porque como bom Português só sei criticar, não sei agir.
Fico a pensar nos familiares espalhados pelo país e pelo mundo, e ainda não sei quando os irei abraçar. Nem sei se usar máscara. Estes tipos vivem uma vida paralela e servem os seus próprios interesses.
Entretanto recordo que lhes dei o meu voto...
Esta celebração numa altura em que estamos todos fechados em casa reflete perfeitamente a realidade do nosso país. Porque não celebraram o 25 de Abril consoante um protocolo seguido pelo resto do país e decretado por eles?
Muito simples: já há muito que têm como adquiridos não só os poderes legislativo, executivo e judiciário, como também o poder económico e CEREBRAL do país.
E nós deixamos, assistimos como espetadores e se for preciso, aplaudimos.
Ao contrário do resto do mundo, o povo português fez uma revolução com cravos.
Somos passivos. Gostamos de discutir e debater mas nunca agimos agressivamente.
Eu próprio fico revoltado e francamente só consigo levantar os braços ao ar porque como bom Português só sei criticar, não sei agir.
Fico a pensar nos familiares espalhados pelo país e pelo mundo, e ainda não sei quando os irei abraçar. Nem sei se usar máscara. Estes tipos vivem uma vida paralela e servem os seus próprios interesses.
Entretanto recordo que lhes dei o meu voto...
"Open-minded people don't care to be right, they care to understand. There's never a right or wrong answer. Everything is about understanding."
"Do not judge. You do NOT know what STORM I have asked them to walk through." God
"Be sure to taste your words before you spit them out."
"Do not judge. You do NOT know what STORM I have asked them to walk through." God
"Be sure to taste your words before you spit them out."
Re: CoronaVirus, panico justificado...?
Não duvido que eles estivessem a trabalhar.
Mas tambem milhares de pessoas estavam a trabalhar em cabeleireiros, feiras, comércio e tudo o mais... E tiveram de parar e ficar em casa... Concordo que o parlamento funcione, mas sendo hoje um feriado e sendo o ajuntamento apenas simbólico, deveria ter sido evitado. Não é uma questão política, é uma questão de exemplo...
Mas tambem milhares de pessoas estavam a trabalhar em cabeleireiros, feiras, comércio e tudo o mais... E tiveram de parar e ficar em casa... Concordo que o parlamento funcione, mas sendo hoje um feriado e sendo o ajuntamento apenas simbólico, deveria ter sido evitado. Não é uma questão política, é uma questão de exemplo...
- Mensagens: 6450
- Registado: 7/4/2007 17:13
- Localização: Algarve
Re: CoronaVirus, panico justificado...?
Qualnhick Escreveu:Marco Martins Escreveu:Tanta discussão!
Hoje é 25 de abril. Vão passear, festejar o dia com outras pessoas (mantendo a distância de 2 metros).
Não entendo estas incongruencias do nosso estado.
O nosso estado decretou estado de emergencia e ordenou o lockdown, ou seja, a situação é de tal maneira grave, segundo o nosso estado (não é a minha opinião) que temos de estar todos confinados em nossa casa para que a pandemia não se espalhe.
Aparentemente, para o nosso estado, hoje e no dia 1 de Maio o virus faz ferias, mas depois dia 2 e 3 de Maio já volta ao ativo e com toda a força, vem de ferias com a força toda, deve ser isso ... não consigo entender estes zig-zags.
Desta vez concordo consigo!
- Mensagens: 491
- Registado: 29/11/2007 11:56
- Localização: Moscavide
Re: CoronaVirus, panico justificado...?
Marco Martins Escreveu:goodmoney Escreveu:Qualnhick Escreveu:
Não entendo estas incongruencias do nosso estado.
O nosso estado decretou estado de emergencia e ordenou o lockdown, ou seja, a situação é de tal maneira grave, segundo o nosso estado (não é a minha opinião) que temos de estar todos confinados em nossa casa para que a pandemia não se espalhe.
Aparentemente, para o nosso estado, hoje e no dia 1 de Maio o virus faz ferias, mas depois dia 2 e 3 de Maio já volta ao ativo e com toda a força, vem de ferias com a força toda, deve ser isso ... não consigo entender estes zig-zags.
Eu até acho que a cerimónia se podia ter feito apenas com 15 ou 20 pessoas mas o que vejo não é discutir o número de pessoas, mas sim a realização ou não da cerimónia. E isso sim é preocupante.
Mas sinceramente, a mim preocupa-me mais o mundo real que uma cerimónia em que cada pessoa tinha 30 m2 só para si.
Se repararam, os jornalistas estavam ju tos lado a lado sem mascaras e a entrevistar a saída!
Não é a questão da cerimónia que me incomoda. É o exemplo de um ajuntamento que está proibido a todos os outros e os políticos como normalmente podem ignorar.
13 de maio quem pode impedir comemorações em Fátima se houver um distanciamento de 2m2 por pessoa?
Não creio que possa haver vergonha para possibilitar umas coisas e impedir outras...
Fechem as fábricas então porque nesse critério também são ajuntamentos. Relembro que aqueles senhores estão a trabalhar, não foi uma festa temática.
Depois estas reflexões de fazer isto uma luta de classes em que os "Iluminados" são beneficiados ao ir passar 2 horas a ouvir discursos... Realmente é um luxo. 90% dos que dizem isso nem ligaram a TV para ouvir os discursos.
Não sou um fã dos políticos ou da política que se tem feito mas às vezes é mesmo pegar por tudo.
Mas pronto, a liberdade de Abril é mesmo para permitir que se diga o que se quiser.
- Mensagens: 581
- Registado: 9/11/2012 16:27
Re: CoronaVirus, panico justificado...?
goodmoney Escreveu:Qualnhick Escreveu:Marco Martins Escreveu:Tanta discussão!
Hoje é 25 de abril. Vão passear, festejar o dia com outras pessoas (mantendo a distância de 2 metros).
Não entendo estas incongruencias do nosso estado.
O nosso estado decretou estado de emergencia e ordenou o lockdown, ou seja, a situação é de tal maneira grave, segundo o nosso estado (não é a minha opinião) que temos de estar todos confinados em nossa casa para que a pandemia não se espalhe.
Aparentemente, para o nosso estado, hoje e no dia 1 de Maio o virus faz ferias, mas depois dia 2 e 3 de Maio já volta ao ativo e com toda a força, vem de ferias com a força toda, deve ser isso ... não consigo entender estes zig-zags.
Eu até acho que a cerimónia se podia ter feito apenas com 15 ou 20 pessoas mas o que vejo não é discutir o número de pessoas, mas sim a realização ou não da cerimónia. E isso sim é preocupante.
Mas sinceramente, a mim preocupa-me mais o mundo real que uma cerimónia em que cada pessoa tinha 30 m2 só para si.
Se repararam, os jornalistas estavam ju tos lado a lado sem mascaras e a entrevistar a saída!
Não é a questão da cerimónia que me incomoda. É o exemplo de um ajuntamento que está proibido a todos os outros e os políticos como normalmente podem ignorar.
13 de maio quem pode impedir comemorações em Fátima se houver um distanciamento de 2m2 por pessoa?
Não creio que possa haver vergonha para possibilitar umas coisas e impedir outras...
- Mensagens: 6450
- Registado: 7/4/2007 17:13
- Localização: Algarve
Re: CoronaVirus, panico justificado...?
Ha Senhores e servos , os servos devem obedecer , sempre os Senhores permitiram para si o que não permitiram aos servos .
Como servo vou continuar acantonado.
Como servo vou continuar acantonado.
- Mensagens: 4949
- Registado: 14/3/2009 0:19
- Localização: 16
Re: CoronaVirus, panico justificado...?
Qualnhick Escreveu:Marco Martins Escreveu:Tanta discussão!
Hoje é 25 de abril. Vão passear, festejar o dia com outras pessoas (mantendo a distância de 2 metros).
Não entendo estas incongruencias do nosso estado.
O nosso estado decretou estado de emergencia e ordenou o lockdown, ou seja, a situação é de tal maneira grave, segundo o nosso estado (não é a minha opinião) que temos de estar todos confinados em nossa casa para que a pandemia não se espalhe.
Aparentemente, para o nosso estado, hoje e no dia 1 de Maio o virus faz ferias, mas depois dia 2 e 3 de Maio já volta ao ativo e com toda a força, vem de ferias com a força toda, deve ser isso ... não consigo entender estes zig-zags.
Eu até acho que a cerimónia se podia ter feito apenas com 15 ou 20 pessoas mas o que vejo não é discutir o número de pessoas, mas sim a realização ou não da cerimónia. E isso sim é preocupante.
Mas sinceramente, a mim preocupa-me mais o mundo real que uma cerimónia em que cada pessoa tinha 30 m2 só para si.
- Mensagens: 581
- Registado: 9/11/2012 16:27
Re: CoronaVirus, panico justificado...?
1 de maio dia do trabalhador será cívicamente vergonhoso se não festejar-mos todos está data.
3 de Maio é dia da mãe e será cívicamente vergonhoso se não formos dar um carinho a quem nos trouxe a este mundo.
(parafraseando o PR)
3 de Maio é dia da mãe e será cívicamente vergonhoso se não formos dar um carinho a quem nos trouxe a este mundo.
(parafraseando o PR)
- Mensagens: 6450
- Registado: 7/4/2007 17:13
- Localização: Algarve
Re: CoronaVirus, panico justificado...?
Marco Martins Escreveu:Tanta discussão!
Hoje é 25 de abril. Vão passear, festejar o dia com outras pessoas (mantendo a distância de 2 metros).
Não entendo estas incongruencias do nosso estado.
O nosso estado decretou estado de emergencia e ordenou o lockdown, ou seja, a situação é de tal maneira grave, segundo o nosso estado (não é a minha opinião) que temos de estar todos confinados em nossa casa para que a pandemia não se espalhe.
Aparentemente, para o nosso estado, hoje e no dia 1 de Maio o virus faz ferias, mas depois dia 2 e 3 de Maio já volta ao ativo e com toda a força, vem de ferias com a força toda, deve ser isso ... não consigo entender estes zig-zags.
- Mensagens: 910
- Registado: 19/12/2002 2:50
Re: CoronaVirus, panico justificado...?
Tanta discussão!
Hoje é 25 de abril. Vão passear, festejar o dia com outras pessoas (mantendo a distância de 2 metros).
Por acaso estou a ver os comentários dos elementos de cada partido na AR e noto que todos se cruzam sem respeitar o distanciamento, todos vão ao mesmo micro e ninguém usou máscara.
Vou dar uma volta agora. Porque todos nós tb temos de iniciar o nosso 25 de abril pela nossa economia.
Já agora, as floristas não deveriam estar fechadas? Será que as flores foram levadas pelos deputados?
Hoje é 25 de abril. Vão passear, festejar o dia com outras pessoas (mantendo a distância de 2 metros).
Por acaso estou a ver os comentários dos elementos de cada partido na AR e noto que todos se cruzam sem respeitar o distanciamento, todos vão ao mesmo micro e ninguém usou máscara.
Vou dar uma volta agora. Porque todos nós tb temos de iniciar o nosso 25 de abril pela nossa economia.
Já agora, as floristas não deveriam estar fechadas? Será que as flores foram levadas pelos deputados?
- Mensagens: 6450
- Registado: 7/4/2007 17:13
- Localização: Algarve
Re: CoronaVirus, panico justificado...?
mais_um Escreveu:Qualnhick Escreveu:(as infecções pulmonares gostam de ambientes fechados, restritos, sem radiações UV, etc).
O futuro dirá se tens razão ou não, até agora a realidade mostra que estás errado, em relação ao que eu sublinhei, ´es médico?
Não, não sou medico, mas isso está mais que provado. Quanto à realidade mostrar que estou errado não concordo, pelo contrario, acho que a realidade a cada dia que passa me dá mais razão.
mais_um Escreveu:Pensei que fosses suficientemente esclarecido para saberes a diferença entre urgências e UCI, mas afinal enganei-me.
E depois eu é que não sou serio na argumentação ...
Eu separei urgencias de UCI, disse que a gripe colapsa as urgencias quase todos os anos e que, por causa disso, os estados tomam medidas para aliviar as urgencias.
Disse que esta pandemia faz colapsar as UCI e, como tal, o que os estados deviam fazer era tomar medidas para aliviar as UCI.
Tu é que misturaste tudo, disseste isto:
mais_um Escreveu:basta ver as imagens do colapso dos SNS de países do 1º mundo, dos que têm os SNS mais bem preparados do planeta
E não, os SNS não colapsaram, o que colapsou basicamente em Espanha, Italia e NY foram as UCI´´s, e eu expliquei porque.
Agora defendes o que eu disse e com base nisso atacas-me ... não percebo.
mais_um Escreveu:Aliás a gripe provoca situações destas todos os anos:
Isso foi o que eu disse, mas ainda bem que concordas !
- Mensagens: 910
- Registado: 19/12/2002 2:50
Re: CoronaVirus, panico justificado...?
artista_ Escreveu:Disco riscado é o teu, porque a essa história de casos de exceção (e estou a dar-te isso de barato para não ter de analisar cada um dos casos que apresentas ao pormenor) já eu respondi que não são regra e é muito mais importante estudar os casos em que os dados são mais evidentes.
Um dos problemas é que tu falas sem teres dados objetivos, sem fazeres os trabalhos de casa.
Fazias um quadro com os dados que defendes, apresentavas e defendias as tuas teorias. Só que isso dá trabalho.
artista_ Escreveu:E nesses casos não se compreende, segundo a tua teoria, como é que tantos países que reagiram mais tarde estão no grupo dos que mais mortos e casos têm-- Itália, Espanha, França, Inglaterra, NY... e mesmo a Bélgica que estás sempre a usar como porta estandarte e eu até te tenho dado isso de barato, mas quando fechou já tinha mortos e, inicialmente pelo menos, as escolas eram obrigadas a ficar com os alunos cujos pais não tinham com quem os deixar que não fossem os avós:
Esses paises, Espanha, Italia, França e UK tomaram medidas de lockdown num momento em que a infecção já estava de tal maneira disseminada pela popuiação que essas medidas não resolveram nada e, possivelmente, até agravaram a situação.
A Belgica foi dos paises que mais rapidamente agiu, no entanto tem o maior numero de mortos por milhao de habitantes.
Andorra idem.
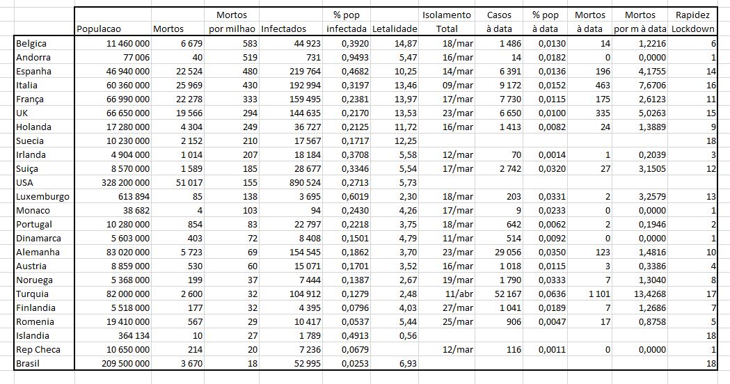
Tens aqui um quadro com um numero enorme de paises ordenado por mortos por milhão de habitantes, ou seja, o primeiro pais a aparecer é o que tem a pior situação o ultimo a melhor.
Na ultima coluna tens a rapidez com que entraram em lockdown, ordenando essa rapidez tambem por mortos por milhao de habitantes à data do lockdown.
Olhando para o quadro o que se conclui é que tens de tudo. Tens paises que atuaram cedo e estão em situação confortavel (ex. rep checa), tens paises que atuarem cedo e têm situações piores (ex. Andorra, Irlanda), tens paises que atuaram tarde e estão em situações confortavel (ex. Turquia, Alemanha) e tens paises que atuaram tarde e estão em situação dificil (ex. italia, Espanha).
artista_ Escreveu: como é que tu explicas que de todos os países que fecharam sem ter ainda um único morto, não haja um único que tenha tido dificuldades de maior com a pandemia?! [/b]
Não é verdade, tens como exemplo Andorra que é só o segundo pais com mais mortos por milhao de habitantes e tomou medidas quando não tinha nenhum morto.
A Alemanha tomou medidas tarde e já com 123 mortos e está em melhor situação que Andorra, Monaco e Dinamarca que tomaram medidas com 0 mortos à data !
artista_ Escreveu:Estes, onde se inclui Portugal (que neste grupo «dos bons» até será dos piores), servem-te para tu meteres aqui os gráficos e tentar mostrar que isto não é nada, é uma gripe igual às de outros anos, mas depois queres passar a ideia que isso aconteceu mas não foi por causa das medidas restritivas... ou seja, é um raciocínio paradoxal.
Tambem não é verdade, tenho mostrado quer os graficos de Portugal quer os graficos de toda a Europa.
artista_ Escreveu:Ainda em relação à Noruega, é engraçado que queiras metê-la no grupo dos que mais tarde tomou medidas, mas na realidade a Noruega e a Bélgica tomaram medidas ao mesmo tempo e já tinham mortos embora poucos, ou seja, d[b]eviam estar no mesmo grupo, fosse ele qual fosse, mas tu, porque te dá jeito, colocas a Bélgica no grupo dos que tomou medidas cedo, e a Noruega no que tomou medidas tarde... é à moda do freguês[/b
À moda do fregues são as tuas analises em que não fazes o trabalho de casa.
A Belgica tomou medidas antes da Noruega, como se vê no quadro, e está na pior situação do mundo.
Já a Noruega tomou medidas depois da Belgica e está numa situação confortavel.
Isto são factos baseados nos numeros oficiais.
artista_ Escreveu:]...olhando para isto, sem ter em conta outros dados que também serão importantes, eu diria que a densidade populacional e hábitos de vidas, de Bélgica e Noruega ajudarão bastante a perceber porque é que num dos países as coisas evoluiram de uma forma muito mais danosa que no outro!
Bem, pelo menos já concluis que não é o lockdown que explica tudo ... já não é mau.
Editado pela última vez por Qualnhick em 25/4/2020 12:11, num total de 1 vez.
- Mensagens: 910
- Registado: 19/12/2002 2:50
Re: CoronaVirus, panico justificado...?
Qualnhick Escreveu:As medidas restritivas foram tomadas na grandissima maioria dos casos num momento em que a infecção já estava generalizada. Nesse momento não faz sentido nenhum tomar essas medidas e até pode ter efeitos contrario (as infecções pulmonares gostam de ambientes fechados, restritos, sem radiações UV, etc).
Nao fazendo sentido tomar essas medidas em termos de saude em termos economicos sao desastrosas, é um facto.
O futuro dirá se tens razão ou não, até agora a realidade mostra que estás errado, em relação ao que eu sublinhei, ´es médico?
Qualnhick Escreveu:Desculpa mas nao é verdade.
Quase todos os anos assistimos ao colapso das urgências devido à gripe, e são tomadas medidas para aliviar as urgencias, enviando pessoas para outros servicos ou reforcando as urgencias.
Este ano o que vimos em alguns paises, basicamente Itália, Espanha e Ny foi o colapso das Uci. Porque ? Porque esta doenca tem efeitos clínicos mais severos, é um facto, e passou a ser tratada como altamente contagiosa, por esse efeito e também por medo, o que requer tratamento com equipamento de protecção adequado, isolamento, etc que requer bastante mais tempo e que os serviços nao estavam preparados para isso.
O que deveria ser feito era reforcar as uci, ou criando hospitais especificos para isso, como os chineses fizeram.
Tens aqui noticias do colapso das urgencias devido à gripe, até deste ano. Se procurares tens isso quase todos os anos em quase todos os paises:
https://www.google.com/amp/s/elpais.com ... 7.amp.html
https://ionline.sapo.pt/artigo/641203/g ... o=Portugal
https://www.google.com/amp/s/amp.eldia. ... 42857.html
Pensei que fosses suficientemente esclarecido para saberes a diferença entre urgências e UCI, mas afinal enganei-me.
Aliás a gripe provoca situações destas todos os anos:
https://www.jn.pt/mundo/madrid-transfor ... 73357.html
https://www.publico.pt/2020/04/10/mundo ... ns-1911829
https://g1.globo.com/mundo/noticia/2020 ... irus.ghtml
https://noticias.uol.com.br/internacion ... vid-19.htm
https://visao.sapo.pt/atualidade/socied ... hospitais/
https://pt.euronews.com/2020/03/23/hosp ... a-covid-19
https://www.publico.pt/2020/03/25/fotog ... ndo-400830
https://noticias.r7.com/saude/fotos/cor ... 0#!/foto/1
https://expresso.pt/coronavirus/2020-04 ... s-afetados
https://www.publico.pt/2020/04/05/mundo ... ao-1911043
https://mag.sapo.pt/showbiz/artigos/are ... a-covid-19
Acontece todos os anos , na altura da gripe.... um pouco por esse mundo fora
"Só duas coisas são infinitas, o universo e a estupidez humana. Mas no que respeita ao universo ainda não tenho a certeza" Einstein
“Com os actuais meios de acesso à informação, a ignorância não é uma fatalidade, mas uma escolha pessoal" Eu
“Com os actuais meios de acesso à informação, a ignorância não é uma fatalidade, mas uma escolha pessoal" Eu
Re: CoronaVirus, panico justificado...?
Polémicas à parte, deixo o que julgo ser a primeira abordagem pública do Dr Lair Ribeiro sobre o tema.
Está muito bom como sempre. Uma abordagem didática. A qualidade por vezes é fraca devido aos meios e à sobrecarga. A imagem tb não interessa, o áudio é aceitável apesar de algumas falhas no início. Recomendo.
https://youtu.be/GTGGXN66r_c?t=811
Editado: Este link tem apenas o áudio, que julgo estar em melhor qualidade: https://www.youtube.com/watch?v=-e1_5S43EiU
Está muito bom como sempre. Uma abordagem didática. A qualidade por vezes é fraca devido aos meios e à sobrecarga. A imagem tb não interessa, o áudio é aceitável apesar de algumas falhas no início. Recomendo.
https://youtu.be/GTGGXN66r_c?t=811
Editado: Este link tem apenas o áudio, que julgo estar em melhor qualidade: https://www.youtube.com/watch?v=-e1_5S43EiU
Editado pela última vez por The Navigator em 25/4/2020 11:27, num total de 2 vezes.
Bons Trades,
The Navigator
"The Navigator is responsible for providing information to the skipper about the boat’s current position, and plotting an optimal course for the destination on a long-distance race. The navigator should be able to provide information including tide patterns, possible wind conditions and so on."
The Navigator
"The Navigator is responsible for providing information to the skipper about the boat’s current position, and plotting an optimal course for the destination on a long-distance race. The navigator should be able to provide information including tide patterns, possible wind conditions and so on."
Re: CoronaVirus, panico justificado...?
ACTUALIZAÇÃO
Eis os elementos publicados ontem, aqui tratados por milhão de habitantes (pmh).
São indicadores históricos a ler com cuidado tendo em conta as limitações dos dados e dos comparativos entre os países face a diferentes critérios de contabilização.
Óbitos e casos diários pmh (escala linear)

Total de óbitos pmh (escala logarítmica)

Óbitos diários pmh média dos últimos 7 dias (escala linear)

Casos diários pmh média dos últimos 7 dias (escala linear)

Casos activos pmh (escala linear)

Máximo de novos casos anteontem e ontem nos EUA (117 casos pmh).
Tendência de redução de novos casos Suíça, Alemanha, Dinamarca (< 25 novos casos pmh dia) e Rep. Checa Áustria (< 10 novos casos pmh dia).
O número de casos activos em Itália diminui desde dia 19 de Abril. Suíça, Áustria, Alemanha, Dinamarca e Rep. Checa terão passado o pico do actual surto.
Eis os elementos publicados ontem, aqui tratados por milhão de habitantes (pmh).
São indicadores históricos a ler com cuidado tendo em conta as limitações dos dados e dos comparativos entre os países face a diferentes critérios de contabilização.
Óbitos e casos diários pmh (escala linear)
Total de óbitos pmh (escala logarítmica)
Óbitos diários pmh média dos últimos 7 dias (escala linear)
Casos diários pmh média dos últimos 7 dias (escala linear)
Casos activos pmh (escala linear)
Máximo de novos casos anteontem e ontem nos EUA (117 casos pmh).
Tendência de redução de novos casos Suíça, Alemanha, Dinamarca (< 25 novos casos pmh dia) e Rep. Checa Áustria (< 10 novos casos pmh dia).
O número de casos activos em Itália diminui desde dia 19 de Abril. Suíça, Áustria, Alemanha, Dinamarca e Rep. Checa terão passado o pico do actual surto.
- Mensagens: 73
- Registado: 30/4/2016 11:26
Re: CoronaVirus, panico justificado...?
artista_ Escreveu:edvieira Escreveu:....
Não pretendo dar razão a ninguém ou desacreditar, mas acredito sem sombra de dúvida que algumas das boas medidas tomadas foram muito eficientes no controlo desta pandemia.
Mas não acho que gráficos esclareçam tudo, pois são apenas isso, "gráficos". Podem dar uma ajuda no apanhado geral da coisa mas não explicam tudo.
Cada pais, cada realidade: pessoas diferentes, mais sol, menos sol, humidade, temperatura, mais turístico, menos turístico, sem medicas, mais horas de dia, menos horas, povo mais social, mais fechado, com medidas de contenção, etc, etc, etc...
Comparar Roménia com Portugal é incomparável. Assim como com outros Países como Suécia...
- Em relação a taxa de mortalidade não ser superior aos outros anos, sim é possível. Mas fruto das medidas tomadas. Não se pode esquecer que estas medidas estão também ajudar todos os outros casos. Este ano há menos mortos pela gripe "normal" e menos do que seria de esperar pelo "Covid-19" por causa das medidas tomadas. Sem medidas, sem quarentena, sem higiene, etc.... teríamos provavelmente entre 5 a 10 Vezes mais mortos por Covid-19 e ainda a somar aos casos da Gripe "normal" que neste caso está provavelmente está a ser mais benevolente por causa destes cuidados todos na luta conta o Covid-19
Não é preciso gráficos para entender isto...
Não te querias meter mas acabaste por te meter... e eu concordo com tudo o que escreveste!![]()
Vai lá perguntar ao Qualnhick se também concorda... com gráficos ou sem eles!
Pois, na verdade acho que não vale a pena...
Mas parece que quebrei a minha regra principal principal - "Se não tenho nada acrescentar, mantenho-me calado..."
Costumo ser um membro nos fóruns que participo, dos muito silenciosos.
- Mensagens: 50
- Registado: 30/12/2017 18:02
Re: CoronaVirus, panico justificado...?
mais_um Escreveu:Ele que me corrija se estou enganado mas do que me recordo, ele defendia que o lockdown era desnecessário ou melhor era mais prejudicial para economia(?) do que não fazer lockdown e para a saude (leia-se nº de mortos) era indiferente, ´e isto?
O que eu disse foi isto:
As medidas restritivas foram tomadas na grandissima maioria dos casos num momento em que a infecção já estava generalizada. Nesse momento não faz sentido nenhum tomar essas medidas e até pode ter efeitos contrarios (as infecções pulmonares gostam de ambientes fechados, restritos, sem radiações UV, etc).
Nao fazendo sentido tomar essas medidas em termos de saude em termos economicos sao desastrosas, é um facto.
mais_um Escreveu:Não preciso de gráficos, de estatísticas, argumentos contra ou a favor, para mim que tenho 53 anos, basta ver as imagens do colapso dos SNS de países do 1º mundo, dos que têm os SNS mais bem preparados do planeta, algo que eu nem ninguém viu em toda a sua vida até agora a não ser em filmes para perceber que isto não é como uma gripe.
Desculpa mas nao é verdade.
Quase todos os anos assistimos ao colapso das urgências devido à gripe, e são tomadas medidas para aliviar as urgencias, enviando pessoas para outros servicos ou reforcando as urgencias.
Este ano o que vimos em alguns paises, basicamente Itália, Espanha e Ny foi o colapso das Uci. Porque ? Porque esta doenca tem efeitos clínicos mais severos, é um facto, e passou a ser tratada como altamente contagiosa, por esse efeito e também por medo, o que requer tratamento com equipamento de protecção adequado, isolamento, etc que requer bastante mais tempo e que os serviços nao estavam preparados para isso.
O que deveria ser feito era reforcar as uci, ou criando hospitais especificos para isso, como os chineses fizeram.
Tens aqui noticias do colapso das urgencias devido à gripe, até deste ano. Se procurares tens isso quase todos os anos em quase todos os paises:
https://www.google.com/amp/s/elpais.com ... 7.amp.html
https://ionline.sapo.pt/artigo/641203/g ... o=Portugal
https://www.google.com/amp/s/amp.eldia. ... 42857.html
mais_um Escreveu: E como eu vi, viram os outros portugueses e por isso ficaram com medo suficiente para começaram a reduzir os contactos sociais mesmo antes do lockdown e foi por isso que também houve pressão para o governo fechar as escolas mesmo indo contra o parecer do CNSP.
Isso é verdade e é o que eu digo, os politicos nao tomaram as medidas de lockdown baseadas na ciência mas baseados no medo.
- Mensagens: 910
- Registado: 19/12/2002 2:50
Re: CoronaVirus, panico justificado...?
A Alemanha prépara 2 vaga , li que só um novo hospital terá 1000 camas .
Talvez isto explique a diferença de mortos ,a poluição Especialmente a industrial .
https://www.theguardian.com/environment ... -pollution
Talvez isto explique a diferença de mortos ,a poluição Especialmente a industrial .
https://www.theguardian.com/environment ... -pollution
- Mensagens: 4949
- Registado: 14/3/2009 0:19
- Localização: 16
Re: CoronaVirus, panico justificado...?
mais_um Escreveu: E como eu vi, viram os outros portugueses e por isso ficaram com medo suficiente para começaram a reduzir os contactos sociais mesmo antes do lockdown e foi por isso que também houve pressão para o governo fechar as escolas mesmo indo contra o parecer do CNSP.
É neste tipo de coisas que tenho refletido e sobre as quais já aqui escrevi algumas vezes. Se nessa altura, não tínhamos ainda um único morto pelo Covid19 e tínhamos poucos infetados confirmados, e mesmo assim já havia uma grande parte dos portugueses que não levava os filhos à escola, pergunto-me o que aconteceria se não fizéssemos nada?! Se os números comessassem a subir e toda a gente tivesse medo de fazer o que quer que seja. O que eu tenho defendido é que não tenho muitas dúvidas que seria mais grave, tanto em termos de saúde pública como em danos provocados à economia.
Que se discuta se podíamos ter sido mais ou menos agressivos, até compreendo, mas será sempre especulativo, alguma coisa tinha de se fazer e, como sugere aqui o mais_um, de certa forma até foi a sociedade civil que pressionou o governo a tomar medidas mais cedo do que aquilo que o CNSP tinha sugerido. À posteriori qualquer um poderá dizer que devíamos ter feito isto ou aquilo melhor (e vai haver muitos a fazê-lo) mas na altura em que as medidas foram tomadas não me parece que se pudesse fazer muito melhor, tendo em conta aquilo que se conhecia na altura... há um aspeto, ou perspetiva, que acho que pouco se falou aqui e que, de certa forma até tem comparativo com os investimentos bolsistas, independentemente de poder ser melhor ou pior, mais assim ou mais assado, o que fizémos quando se começou a fechar o país, foi um stop loss, garantimos que apartir dali só perderíamos o inevitável, se alguma coisa corresse mal teria a ver com o que fizémos, ou náo fizémos antes, ali acionámos uma espécie de garantia!
EDIT: Pegando neste último raciocinio aplicado à Suécia, o que eles fizeram foi uma espécie de resolver não usar o «stop loss» e tentar uma negociação seletiva mantendo posições variáveis num título em clara queda. Numa fase inicial sabem que a probabilidade de perderem é grande, contando que as consigam limitar com essa negociação seletiva, e pensando ganhar a médio/longo prazo com a estratégia... espero que lhes corra bem, sinceramente, mas, se correr, para mim ficarão sempre algumas perguntas, valeu a pena o risco?! Será que tinham realmente consciência dos riscos que corriam? O que é que pode ser considerado correr bem? O que vier a acontecer poderá muito bem ser algo que haja quem defenda que foi melhor e quem defenda o contrário...
Sugestões de trading, análises técnicas, estratégias e ideias http://sobe-e-desce.blogspot.com/
http://www.gamesandfun.pt/afiliado&id=28
http://www.gamesandfun.pt/afiliado&id=28
Re: CoronaVirus, panico justificado...?
No meio de tantos comentários, gráficos, etc...confesso que já estou perdido nomeadamente qual era o ponto inicial do Qualnhick, até porque deixei de ler a maior parte dos comentários que ele escreveu.
Ele que me corrija se estou enganado mas do que me recordo, ele defendia que o lockdown era desnecessário ou melhor era mais prejudicial para economia(?) do que não fazer lockdown e para a saude (leia-se nº de mortos) era indiferente, ´e isto?
Em relação aos factores que tem influencia não é preciso ir muito longe, basta ver o que se passa no nosso país, as diferenças regionais são substanciais e as medidas foram implementadas para todo o país ao mesmo tempo.
Esta situação é abordado num artigo do Publico que coloquei neste tópico h´a bastante tempo, explica várias hipóteses para justificar essas diferenças e que vai ao encontro do que o edvieira referiu e bem:
Não preciso de gráficos, de estatísticas, argumentos contra ou a favor, para mim que tenho 53 anos, basta ver as imagens do colapso dos SNS de países do 1º mundo, dos que têm os SNS mais bem preparados do planeta, algo que eu nem ninguém viu em toda a sua vida até agora a não ser em filmes para perceber que isto não é como uma gripe. E como eu vi, viram os outros portugueses e por isso ficaram com medo suficiente para começaram a reduzir os contactos sociais mesmo antes do lockdown e foi por isso que também houve pressão para o governo fechar as escolas mesmo indo contra o parecer do CNSP.
Não posso escrever aqui o que penso sobre as pessoas que depois de verem o que se passou e está a passar-se por esse mundo fora nos SNS continuam a dizer que isto é como uma gripe, porque senão os moderadores apagavam o comentário (algo que em 12 anos nunca fizeram) e baniam-me do fórum.
Bom fim de semana!
Ele que me corrija se estou enganado mas do que me recordo, ele defendia que o lockdown era desnecessário ou melhor era mais prejudicial para economia(?) do que não fazer lockdown e para a saude (leia-se nº de mortos) era indiferente, ´e isto?
Em relação aos factores que tem influencia não é preciso ir muito longe, basta ver o que se passa no nosso país, as diferenças regionais são substanciais e as medidas foram implementadas para todo o país ao mesmo tempo.
Esta situação é abordado num artigo do Publico que coloquei neste tópico h´a bastante tempo, explica várias hipóteses para justificar essas diferenças e que vai ao encontro do que o edvieira referiu e bem:
Mas não acho que gráficos esclareçam tudo, pois são apenas isso, "gráficos". Podem dar uma ajuda no apanhado geral da coisa mas não explicam tudo.
Cada pais, cada realidade: pessoas diferentes, mais sol, menos sol, humidade, temperatura, mais turístico, menos turístico, sem medicas, mais horas de dia, menos horas, povo mais social, mais fechado, com medidas de contenção, etc, etc, etc...
Não preciso de gráficos, de estatísticas, argumentos contra ou a favor, para mim que tenho 53 anos, basta ver as imagens do colapso dos SNS de países do 1º mundo, dos que têm os SNS mais bem preparados do planeta, algo que eu nem ninguém viu em toda a sua vida até agora a não ser em filmes para perceber que isto não é como uma gripe. E como eu vi, viram os outros portugueses e por isso ficaram com medo suficiente para começaram a reduzir os contactos sociais mesmo antes do lockdown e foi por isso que também houve pressão para o governo fechar as escolas mesmo indo contra o parecer do CNSP.
Não posso escrever aqui o que penso sobre as pessoas que depois de verem o que se passou e está a passar-se por esse mundo fora nos SNS continuam a dizer que isto é como uma gripe, porque senão os moderadores apagavam o comentário (algo que em 12 anos nunca fizeram) e baniam-me do fórum.
Bom fim de semana!
"Só duas coisas são infinitas, o universo e a estupidez humana. Mas no que respeita ao universo ainda não tenho a certeza" Einstein
“Com os actuais meios de acesso à informação, a ignorância não é uma fatalidade, mas uma escolha pessoal" Eu
“Com os actuais meios de acesso à informação, a ignorância não é uma fatalidade, mas uma escolha pessoal" Eu
Re: CoronaVirus, panico justificado...?
edvieira Escreveu:....
Não pretendo dar razão a ninguém ou desacreditar, mas acredito sem sombra de dúvida que algumas das boas medidas tomadas foram muito eficientes no controlo desta pandemia.
Mas não acho que gráficos esclareçam tudo, pois são apenas isso, "gráficos". Podem dar uma ajuda no apanhado geral da coisa mas não explicam tudo.
Cada pais, cada realidade: pessoas diferentes, mais sol, menos sol, humidade, temperatura, mais turístico, menos turístico, sem medicas, mais horas de dia, menos horas, povo mais social, mais fechado, com medidas de contenção, etc, etc, etc...
Comparar Roménia com Portugal é incomparável. Assim como com outros Países como Suécia...
- Em relação a taxa de mortalidade não ser superior aos outros anos, sim é possível. Mas fruto das medidas tomadas. Não se pode esquecer que estas medidas estão também ajudar todos os outros casos. Este ano há menos mortos pela gripe "normal" e menos do que seria de esperar pelo "Covid-19" por causa das medidas tomadas. Sem medidas, sem quarentena, sem higiene, etc.... teríamos provavelmente entre 5 a 10 Vezes mais mortos por Covid-19 e ainda a somar aos casos da Gripe "normal" que neste caso está provavelmente está a ser mais benevolente por causa destes cuidados todos na luta conta o Covid-19
Não é preciso gráficos para entender isto...
Não te querias meter mas acabaste por te meter... e eu concordo com tudo o que escreveste!
Vai lá perguntar ao Qualnhick se também concorda... com gráficos ou sem eles!
Sugestões de trading, análises técnicas, estratégias e ideias http://sobe-e-desce.blogspot.com/
http://www.gamesandfun.pt/afiliado&id=28
http://www.gamesandfun.pt/afiliado&id=28
Re: CoronaVirus, panico justificado...?
Qualnhick Escreveu:Estes modelos sao ... modelos. Uns aproximam-se mais da realidade do que outros.
O ultimo modelo, por exemplo, refere que o pico de mortalidade nos eua seria à volta do dia 9 de abril, quando continuam a crescer. Nao me parece ter grande adesao à realidade.
Modelos são modelos, claro. Os autores não escondem as limitações (se bem me recordo, todos incluem disclaimers e/ou descrições das limitações).
FLOP - Fundamental Laws Of Profit
1. Mais vale perder um ganho que ganhar uma perda, a menos que se cumpra a Segunda Lei.
2. A expectativa de ganho deve superar a expectativa de perda, onde a expectativa mede a
__.amplitude média do ganho/perda contra a respectiva probabilidade.
3. A Primeira Lei não é mesmo necessária mas com Três Leis isto fica definitivamente mais giro.
Re: CoronaVirus, panico justificado...?
Qualnhick Escreveu:Outra vez ? Estas com o disco riscado ... não vou voltar a essa discusão, já te expliquei que a Belgica tomou medidas cedo e é o pior pais do mundo em mortos por milhão, que a Noruega tomou medidas tarde e é dos melhor paises em mortos por milhão, que a Suecia e a Holanda não tomaram medidas rigidas de lockdown e estão a meio da tabela, que a Dinamarca foi dos paises que mais rapidamente tomou medidas, quando ainda nem sequer mortos tinha, e está numa situação pior que a Alemanha que tomou medidas muito mais tarde, já com 94 mortos, mas não vale a pena.
Ficas com a tua opinião, tu o MarcoAntonio o mais_um que tem um Nick giro ... mais_um, é isso mesmo, o Carrancho, e todos os que se identificarem com essa teoria, que eu fico com a minha.
Vou tentar outra vez, antes de provavelmente te voltar a deixar a falar sozinho...
Disco riscado é o teu, porque a essa história de casos de exceção (e estou a dar-te isso de barato para não ter de analisar cada um dos casos que apresentas ao pormenor) já eu respondi que não são regra e é muito mais importante estudar os casos em que os dados são mais evidentes.
E nesses casos não se compreende, segundo a tua teoria, como é que tantos países que reagiram mais tarde estão no grupo dos que mais mortos e casos têm-- Itália, Espanha, França, Inglaterra, NY... e mesmo a Bélgica que estás sempre a usar como porta estandarte e eu até te tenho dado isso de barato, mas quando fechou já tinha mortos e, inicialmente pelo menos, as escolas eram obrigadas a ficar com os alunos cujos pais não tinham com quem os deixar que não fossem os avós:
https://expresso.pt/internacional/2020- ... os-eventos
https://sicnoticias.pt/especiais/corona ... e-Covid-19
Podes tentar o que quiseres mas a Bélgica não foi dos que fechou mais cedo, longe disso, e temos de ver os aspetos do Lockdown, há uns mais exigentes que outros.
E também não se compreende, segundo a tua teoria, como é que nenhum dos países que fecharam cedo estão nesse grupo dos que pior estão, não há um único... tentaste lá meter a Bélgica, mas já vimos que não é bem verdade o que esta´vas a querer passar, mas, mesmo que fosse, como é que tu explicas que de todos os países que fecharam sem ter ainda um único morto, não haja um único que tenha tido dificuldades de maior com a pandemia?! Estes, onde se inclui Portugal (que neste grupo «dos bons» até será dos piores), servem-te para tu meteres aqui os gráficos e tentar mostrar que isto não é nada, é uma gripe igual às de outros anos, mas depois queres passar a ideia que isso aconteceu mas não foi por causa das medidas restritivas... ou seja, é um raciocínio paradoxal.
Ainda em relação à Noruega, é engraçado que queiras metê-la no grupo dos que mais tarde tomou medidas, mas na realidade a Noruega e a Bélgica tomaram medidas ao mesmo tempo e já tinham mortos embora poucos, ou seja, deviam estar no mesmo grupo, fosse ele qual fosse, mas tu, porque te dá jeito, colocas a Bélgica no grupo dos que tomou medidas cedo, e a Noruega no que tomou medidas tarde... é à moda do freguês...olhando para isto, sem ter em conta outros dados que também serão importantes, eu diria que a densidade populacional e hábitos de vidas, de Bélgica e Noruega ajudarão bastante a perceber porque é que num dos países as coisas evoluiram de uma forma muito mais danosa que no outro!
Responde ao que te perguntam... porque o que tu fazes é que é disco riscado!
Editado pela última vez por artista_ em 24/4/2020 23:37, num total de 1 vez.
Sugestões de trading, análises técnicas, estratégias e ideias http://sobe-e-desce.blogspot.com/
http://www.gamesandfun.pt/afiliado&id=28
http://www.gamesandfun.pt/afiliado&id=28
Quem está ligado:
Utilizadores a ver este Fórum: aaugustobb_69, Conservador, iniciado1, latbal, Lisboa_Casino, m-m, malakas, Mavericks7, navaldoc, OffTheRecord, PAULOJOAO, paulopereira.pp36.pp, peterteam2, Phil2014, tami, trilhos2006 e 81 visitantes



